Nikon AF-P DX NIKKOR 10-20mm f/4.5-5.6G VR Lens with 7 Year Warranty
- Compact, lightweight, durable design that's great for travel and outings
- Outstanding optics deliver beautiful photos and videos, even in challenging situations
- Near-silent autofocus stepping motor is ideal for recording video
Nikon AF-P DX NIKKOR 10-20mm f/4.5-5.6G VR Lens with 7 Year Warranty
Price unavailable
Pickup currently unavailable at 80 Carter Drive
Your payment information is processed securely. We do not store credit card details nor have access to your credit card information.
What's In The Box
- AF-P DX NIKKOR 10-20mm f/4.5-5.6G VR
- LC-72 Snap-On Front Lens Cap 72mm
- LF-4 Rear Lens Cap
- HB-81 Bayonet Lens Hood
- CL-1015 Soft Lens Case
- 5-Year NIKKOR Lens Warranty
- Bundle Includes:
- Nikon AF-P DX NIKKOR 10-20mm f/4.5-5.6G VR Lens
- 7 Year Extended Warranty for Any Optic under $500
Free Shipping
Free ground shipping is available to home addresses in the contiguous United States. PO Boxes, Alaska, Hawaii, US Territories (including Puerto Rico), APO/FPO and addresses outside the United States are not eligible for free shipping.
FedEx Shipping
All merchandise except for oversized items (e.g. Flat screen LED TVs over 55" and plasma TVs over 51") advertised on Beachcamera.com are usually shipped via FedEx.
All packages shipped from Beachcamera.com require a signature upon delivery. Please arrange for someone to sign for the delivery if you are unable to do so. We recommend that you provide an email address so that we may keep you informed of the status of your order and send you tracking information. You will be able to track your order online or by phone for an estimated time of arrival. FedEx will attempt to deliver your package three times before returning it to Beachcamera.com
United States Postal Service (USPS) Shipping
Small items such as memory cards may be shipped by the Post Office.
If the destination address is a PO Box or an APO/FPO, we will ship your order via USPS since FedEx is unable to deliver to those destinations. We will provide tracking information via email after your order has shipped. Items delivered to a PO Box or an APO/FPO will be delivered in 7 - 10 business days. Final delivery for APO/FPO destinations will be subject to the Terms and Conditions of the APO/FPO services. Not all items can be shipped via USPS. Some items that are shipped via USPS may be subject to an additional shipping charge. If necessary, Beachcamera.com will contact you before the order is processed.
Oversized Merchandise Shipping
Oversized merchandise (Flat screen LED TVs over 55", plasma TVs over 51", BBQ Grills & Furniture) are shipped via a motor freight carrier that specializes in Home Delivery. Since these items are large and fragile, special handling is required, and cannot be shipped via our standard shipping options.
We take every precaution during our shipping preparation process to ensure that your order arrives to you in perfect condition. Each item on your order is scanned for accuracy of model and serial number. We apply large orange fragile sticker labels to notify the carrier that your shipment is fragile and requires special handling. The labels also include important step-by-step instructions on how to inspect and sign for your shipment. In addition to the manufacturer's standard foam and corrugated packaging, we also apply a special shock absorption polyethylene material to the outer carton of every TV. This safeguard will disperse energy from impact during transit, and eliminate damage to the product itself. Our professional appointment-based delivery service allows you to open and inspect your new TV prior to signing and accepting the TV. When you purchase a TV at Beachcamera.com, you can be sure that it will arrive perfect working order, and will remain that way for a long time to come.
Non-Deliverable Addresses
We are unable to delivery to the following addresses:
- Mail box drop off locations
- Hotels and motels
- Trade Shows, Conventions, Conferences
Standard Return Policy
We want you to love the items you purchase from Beachcamera.com. If you are not satisfied with your purchase for any reason, you may return items for a full refund within 45 days, subject to the conditions below.
- Returned merchandise must be in original condition and include all factory packed accessories and paperwork (e.g. battery, charger, cords, straps, unmarked warranty card, manuals, etc.), in the original manufacturer box and packaging with UPC, barcode, and serial number intact.
- Incomplete returns will receive a reduced credit, reflecting any missing peripherals.
- The product serial number must match the serial number in our database. Beachcamera.com maintains serial number tracking.
- We require that all approved returns of computers, tablets, and similar devices have the password removed or restored to the system default.
- Return merchandise must be double-boxed with no writing on the manufacturer's box. Your Return Authorization number should be prominently displayed on the outside of the shipping box.
You must contact our customer service department to arrange a return. All returns must be shipped to the following address:
BTC Beach Camera Returns
80 Carter Drive
Edison, NJ 08817
You must include the RA number issued to you by customer service, please be sure to write this number clearly on the return box.
Please be sure to save the shipment tracking number for your return. Merchandise lost or damaged during shipping is the shipper's responsibility.
Televisions over 65" must be returned via one of our Home Delivery Partners. Please contact us to schedule a pickup for your large TV return.
If your return is not the result of our error, the return shipping costs are the responsibility of the customer.
Television Returns
Buyer's Remorse for TVs in Brand New condition:
If you are not 100% satisfied with your TV purchase, you may return it within 30 days from delivery for a full refund, less return shipping fees. Please note that a 15% restocking fee may apply. All returned TVs must be in their original box and include all packing material, manuals, and accessories.
Damages:
We're here to help!
For Common Deliveries (FedEx, UPS):
Please inspect the TV and report any damages (e.g. cracked screen, scratches, dents, etc.) within 2 days by contacting us at 1.800.572.3224
For Special Handling/Freight deliveries:
Please open and inspect the TV prior to signing for it. If the TV is cracked or damaged, please refuse delivery and contact us immediately at 1.800.572.3224 .
Please note damage claims will be denied for the following:
- TVs with over 60 minutes of recorded usage
- TVs that have been moved from the original delivery address
All damage claims must be made within two (2) days of delivery. We will issue a refund and cover all shipping costs.
Manufacturer Defects:
Your TV is fully covered under your in-home one year Manufacturer's Warranty service. If any further assistance is needed, please contact us. *Open-Box units are covered under our in-house 90 day warranty.
Drones Returns
All defects can be handled under the manufacturer's warranty. For DJI brand drones, call DJI at 818-235-0789 and obtain a case number for the defect prior to requesting an RMA. Please note only Dead on Arrival units out of the box will be returnable to us (with a valid case number). DJI will NOT authorize any returns to us if there are any signs of use like dirt, grass stains, nicks or any signs of use. For these situations, the Return Authorization would need to be handled directly between the customer & DJI
Exceptions
- Mattresses
- Opened or Downloadable Software
- Consumables, including batteries, paper and ink
- Opened packages of Apparel, Bedding or Linens
- Used Cookwear and BBQ Grills
- Personal Body Massagers/Shavers
- Special order items
- Refunds
Refunds for returns are applied to the payment method used at the time of purchase. Once we receive and inspect the product we will credit your account. Please allow 5-7 business days for a credit to appear on your account.
Product Exchanges
If you purchased a product from Beachcamera.com that you wish to exchange for an alternative, you can return the item for a full refund and simply place a new order for the item you desire. A refund credit cannot be applied to a new purchase.
Defective Items
An item that was discovered to be defective upon receipt can be replaced or returned for a full refund.
Damage or Missing Items
Claims for items damaged in transit or missing items must be received within two business days of receipt of the shipment.
Replacement
We will send a product replacement after the authorized return has completed our receiving/inspection process. The replacement will ship within four business days following the receipt of your return. Please allow for additional processing time after holidays.
Although it is our goal to ship a replacement as quickly as possible, a replacement cannot be shipped before we receive and inspect the return. To receive a replacement more quickly, you may place a new order for the same item (shipping not included) and we will issue a refund for the full value of the returned product (including shipping) upon completion of our return process.
Product Details
There's so much more to see.
To truly capture the feeling of a place, you need a lens wide enough to see the entire scene. Enter the AF-P DX NIKKOR 10-20mm f/4.5-5.6G VR - an ultra-wide-angle zoom lens that's ideal for sprawling landscapes and cityscapes, architecture, interiors or just beautiful group photos. Its near-silent autofocusing and Vibration Reduction (VR) image stabilization make it a great choice for recording video, and its compact, lightweight design makes it a great travel companion. See what you've been missing with the AF-P DX NIKKOR 10-20mm f/4.5-5.6G VR.
Life from a new perspective - Ultra-wide-angle views and close focusing
With an ultra-wide-angle view that surpasses any kit lens, the AF-P DX NIKKOR 10-20mm f/4.5-5.6G VR lets you play with composition in a new way - foreground, middle ground, background, symmetry, patterns, lines, dramatic skies and more. Get as close as 0.8 feet from your subject to create photos and videos with dramatic leading lines or to capture tight interior spaces with ease.
Small in size, big in quality
Despite its super compact, lightweight design, the AF-P DX NIKKOR 10-20mm f/4.5-5.6G VR delivers huge performance. Vibration Reduction (VR) image stabilization ensures sharper handheld photos and videos and lets you use a slower shutter speed for brighter photos in low light. Three Aspherical (AS) Lens Elements nearly eliminates naturally occurring distortion and contributes to the lens' lightweight, compact design. Super Integrated Coating (SIC) cuts through ghosting and lens flare in backlit or cross-lit situations; retains maximum color and contrast. A 7-blade aperture design gives your photo and video backgrounds a beautifully soft, round blurring effect.
Do not disturb - Near-silent, fast autofocus stepping motor
The AF-P DX NIKKOR 10-20mm f/4.5-5.6G VR focuses like a dream. When shooting video, its smooth stepping motor keeps focusing noise to a minimum. If you need to make adjustments, you'll appreciate the silky smooth manual operation. To eliminate unintentional changes to the VR ON/OFF and AF/MF settings, those controls have been moved to the camera menu, and their status can be easily verified in your camera's information display.
A-M
A-M stands for Auto-Manual Mode. Thanks to a mechanism incorporated in the lens barrel, smooth focusing operation in Manual focus mode is realized in the same way as users have become accustomed to with conventional manual-focus lenses by adding an appropriate torque to the focus ring.
Aspherical Lens
A lens with a curved, non-spherical surface. Used to reduce aberrations and enable a more compact lens size. Aspherical lenses minimize coma and other types of lens aberrations, even when used at the widest aperture. They are particularly useful in correcting distortion in wide-angle lenses and help contribute to a lighter, more compact design by reducing the number of standard (spherical) elements necessary. Aspherical lens elements correct these distortions by continuously changing the refractive index from the center of the lens.
IF Lens
A NIKKOR lens in which only the internal lens group shifts during focusing. Thus, IF NIKKORS do not change in size during AF operation, allowing for compact, lightweight lenses capable of closer focusing distances. These lenses will be designated with the abbreviation IF on the lens barrel.
M/A
Select NIKKOR lenses have a focusing mode which allows switching from automatic to manual focusing with virtually no lag time by simply turning the focusing ring on the lens. This makes it possible to seamlessly switch to fine manual focusing while looking through the viewfinder.
Pulse Motor
Nikon's "P" series of NIKKOR lenses use a pulse motor (utilizing stepping motors) to focus smoother and quieter than previous drive systems. This quiet drive system makes the lenses ideal for use when shooting video.
Super Integrated Coating
Nikon Super Integrated Coating is Nikon's term for its multilayer coating of the optical elements in NIKKOR lenses.
Vibration Reduction
A Nikon in-lens technology that improves image stability by automatically compensating for camera shake. Lenses that offer VR will feature the abbreviation VR on the lens barrel.
Product Details
- Ultra-wide-angle view that surpasses any kit lens and lets you get creative with composition
- Compact, lightweight, durable design that's great for travel and outings
- Outstanding optics deliver beautiful photos and videos, even in challenging situations
- Near-silent autofocus stepping motor is ideal for recording video
- Vibration Reduction (VR) image stabilization keeps handheld photos and videos sharp and helps with low-light shooting
-
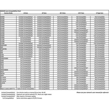
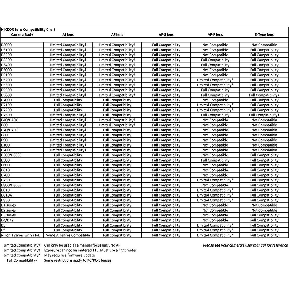
The number of cameras compatible with both lenses is limited. Even for compatible cameras, firmware update may be required. Fully compatible models: D7500, D5600, D5500, D5300, D3400, D3300, D500 and later models
Compatible models with limited functions: D5, D810 series, Df, D750, D7200, D7100, D5200, Nikon 1 series with the FT1
Incompatible models: D4 series, D3 series, D2 series, D1 series, D800 series, D700, D610, D600, D300 series, D200, D100, D7000, D5100, D5000, D90, D80, D70 series, D3200, D3100, D3000, D60, D50, D40 series, film cameras
Technical Specifications
Mount Type - Nikon F-Bayonet
Focal Length Range - 10 - 20 mm
Zoom Ratio - 2 x
Maximum Aperture - f/ 4.5
Minimum Aperture - f/ 29
Format - DX
Maximum Angle of View (DX-format) - 109 degrees
Minimum Angle of View (DX-format) - 70 degrees
Maximum Reproduction Ratio - 0.17 x
Lens Elements - 14
Lens Groups - 11
Optical Conversion Factor - 1.5x
Compatible Format(s) - DX
VR (Vibration Reduction) Image Stabilization - Yes - Lens shift using voice coil motors (VCMs)
Diaphragm Blades - 7
Aspherical Elements - 3
Super Integrated Coating - Yes
Autofocus - Yes
AF-P (Pulse Motor) - Yes
Internal Focusing - Yes
Minimum Focus Distance - 0.8 ft. ( 0.22 m) (from focal plane at all zoom positions)
Focus Mode - Auto, Manual, Manual/Auto
G-type - Yes
Filter Size - 72 mm
Accepts Filter Type - Screw-on
Approx. Dimensions (Diameter x Length) - 3.0 in. (77 mm) x 2.8 in. (73 mm) - Distance from camera lens mount flange - Based on CIPA Guidelines
Approx. Weight - 8.2 oz. (230 g) - Based on CIPA Guidelines