Free Shipping on Most U.S. Orders
Easy Returns and Exchanges
Exceptional Customer Support

Free Shipping

Free ground shipping is available to home addresses in the contiguous United States. PO Boxes, Alaska, Hawaii, US Territories (including Puerto Rico), APO/FPO and addresses outside the United States are not eligible for free shipping.

FedEx Shipping

All merchandise except for oversized items (e.g. Flat screen LED TVs over 55" and plasma TVs over 51") advertised on Beachcamera.com are usually shipped via FedEx.

All packages shipped from Beachcamera.com require a signature upon delivery. Please arrange for someone to sign for the delivery if you are unable to do so. We recommend that you provide an email address so that we may keep you informed of the status of your order and send you tracking information. You will be able to track your order online or by phone for an estimated time of arrival. FedEx will attempt to deliver your package three times before returning it to Beachcamera.com

United States Postal Service (USPS) Shipping

Small items such as memory cards may be shipped by the Post Office.

If the destination address is a PO Box or an APO/FPO, we will ship your order via USPS since FedEx is unable to deliver to those destinations. We will provide tracking information via email after your order has shipped. Items delivered to a PO Box or an APO/FPO will be delivered in 7 - 10 business days. Final delivery for APO/FPO destinations will be subject to the Terms and Conditions of the APO/FPO services. Not all items can be shipped via USPS. Some items that are shipped via USPS may be subject to an additional shipping charge. If necessary, Beachcamera.com will contact you before the order is processed.

Oversized Merchandise Shipping

Oversized merchandise (Flat screen LED TVs over 55", plasma TVs over 51", BBQ Grills & Furniture) are shipped via a motor freight carrier that specializes in Home Delivery. Since these items are large and fragile, special handling is required, and cannot be shipped via our standard shipping options.

We take every precaution during our shipping preparation process to ensure that your order arrives to you in perfect condition. Each item on your order is scanned for accuracy of model and serial number. We apply large orange fragile sticker labels to notify the carrier that your shipment is fragile and requires special handling. The labels also include important step-by-step instructions on how to inspect and sign for your shipment. In addition to the manufacturer's standard foam and corrugated packaging, we also apply a special shock absorption polyethylene material to the outer carton of every TV. This safeguard will disperse energy from impact during transit, and eliminate damage to the product itself. Our professional appointment-based delivery service allows you to open and inspect your new TV prior to signing and accepting the TV. When you purchase a TV at Beachcamera.com, you can be sure that it will arrive perfect working order, and will remain that way for a long time to come.

Non-Deliverable Addresses

We are unable to delivery to the following addresses:

- Mail box drop off locations
- Hotels and motels
- Trade Shows, Conventions, Conferences

Standard Return Policy

We want you to love the items you purchase from Beachcamera.com. If you are not satisfied with your purchase for any reason, you may return items for a full refund within 45 days, subject to the conditions below.

- Returned merchandise must be in original condition and include all factory packed accessories and paperwork (e.g. battery, charger, cords, straps, unmarked warranty card, manuals, etc.), in the original manufacturer box and packaging with UPC, barcode, and serial number intact.

- Incomplete returns will receive a reduced credit, reflecting any missing peripherals.

- The product serial number must match the serial number in our database. Beachcamera.com maintains serial number tracking.

- We require that all approved returns of computers, tablets, and similar devices have the password removed or restored to the system default.

- Return merchandise must be double-boxed with no writing on the manufacturer's box. Your Return Authorization number should be prominently displayed on the outside of the shipping box.

You must contact our customer service department to arrange a return. All returns must be shipped to the following address:

BTC Beach Camera Returns
80 Carter Drive
Edison, NJ 08817

You must include the RA number issued to you by customer service, please be sure to write this number clearly on the return box.

Please be sure to save the shipment tracking number for your return. Merchandise lost or damaged during shipping is the shipper's responsibility.

Televisions over 65" must be returned via one of our Home Delivery Partners. Please contact us to schedule a pickup for your large TV return.

If your return is not the result of our error, the return shipping costs are the responsibility of the customer.

Television Returns

Buyer's Remorse for TVs in Brand New condition:
If you are not 100% satisfied with your TV purchase, you may return it within 30 days from delivery for a full refund, less return shipping fees. Please note that a 15% restocking fee may apply. All returned TVs must be in their original box and include all packing material, manuals, and accessories.

Damages:
We're here to help!
For Common Deliveries (FedEx, UPS):
Please inspect the TV and report any damages (e.g. cracked screen, scratches, dents, etc.) within 2 days by contacting us at 1.800.572.3224

For Special Handling/Freight deliveries:
Please open and inspect the TV prior to signing for it. If the TV is cracked or damaged, please refuse delivery and contact us immediately at 1.800.572.3224 .

Please note damage claims will be denied for the following:

- TVs with over 60 minutes of recorded usage
- TVs that have been moved from the original delivery address

All damage claims must be made within two (2) days of delivery. We will issue a refund and cover all shipping costs.

Manufacturer Defects:
Your TV is fully covered under your in-home one year Manufacturer's Warranty service. If any further assistance is needed, please contact us. *Open-Box units are covered under our in-house 90 day warranty.

Drones Returns

All defects can be handled under the manufacturer's warranty. For DJI brand drones, call DJI at 818-235-0789 and obtain a case number for the defect prior to requesting an RMA. Please note only Dead on Arrival units out of the box will be returnable to us (with a valid case number). DJI will NOT authorize any returns to us if there are any signs of use like dirt, grass stains, nicks or any signs of use. For these situations, the Return Authorization would need to be handled directly between the customer & DJI

Exceptions
  • Mattresses
  • Opened or Downloadable Software
  • Consumables, including batteries, paper and ink
  • Opened packages of Apparel, Bedding or Linens
  • Used Cookwear and BBQ Grills
  • Personal Body Massagers/Shavers
  • Special order items
  • Refunds

Refunds for returns are applied to the payment method used at the time of purchase. Once we receive and inspect the product we will credit your account. Please allow 5-7 business days for a credit to appear on your account.

Product Exchanges

If you purchased a product from Beachcamera.com that you wish to exchange for an alternative, you can return the item for a full refund and simply place a new order for the item you desire. A refund credit cannot be applied to a new purchase.

Defective Items

An item that was discovered to be defective upon receipt can be replaced or returned for a full refund.

Damage or Missing Items

Claims for items damaged in transit or missing items must be received within two business days of receipt of the shipment.

Replacement

We will send a product replacement after the authorized return has completed our receiving/inspection process. The replacement will ship within four business days following the receipt of your return. Please allow for additional processing time after holidays.

Although it is our goal to ship a replacement as quickly as possible, a replacement cannot be shipped before we receive and inspect the return. To receive a replacement more quickly, you may place a new order for the same item (shipping not included) and we will issue a refund for the full value of the returned product (including shipping) upon completion of our return process.

Contact Us

+1 (800) 572-3224

Customerservice@beachcamera.com

80 Carter Drive, Edison, NJ 08817

Product Details


A go-to lens for nearly any situation
With the Vibration Reduction (VR) equipped AF-P DX NIKKOR 18-55mm f/3.5-5.6G VR on your DX-format DSLR, you'll be ready for anything. Part of Nikon's new "P" series of lenses, it uses a pulse motor (utilizing stepping motors) for ultra-fast, near silent autofocus and two Aspherical lens elements for outstanding optical performance. Capture wide landscapes and group photos one moment, then tight portraits, family sporting events and smooth HD video the next-all with phenomenal clarity and precision. VR image stabilization enhances your camera's low-light capabilities and keeps your videos steady. Compact, lightweight and extremely versatile, this lens will be your gateway to better photography.

- Aspherical Lens: A lens with a curved, non-spherical surface. Used to reduce aberrations and enable a more compact lens size. Aspherical lenses minimize coma and other types of lens aberrations, even when used at the widest aperture. They are particularly useful in correcting distortion in wide-angle lenses and help contribute to a lighter, more compact design by reducing the number of standard (spherical) elements necessary. Aspherical lens elements correct these distortions by continuously changing the refractive index from the center of the lens.
- M/A: Select NIKKOR lenses have a focusing mode which allows switching from automatic to manual focusing with virtually no lag time by simply turning the focusing ring on the lens. This makes it possible to seamlessly switch to fine manual focusing while looking through the viewfinder.
- Super Integrated Coating: Nikon Super Integrated Coating is Nikon's term for its multilayer coating of the optical elements in NIKKOR lenses.
- Vibration Reduction: A Nikon in-lens technology that improves image stability by automatically compensating for camera shake. Lenses that offer VR will feature the abbreviation VR on the lens barrel.
- Pulse Motor: Nikon's "P" series of NIKKOR lenses use a pulse motor (utilizing stepping motors) to focus smoother and quieter than previous drive systems. This quiet drive system makes the lenses ideal for use when shooting video.

Everyday excellence
Compact, lightweight all-around lens

This is a lens you'll take everywhere. Its 3.1x zoom range covers the highly versatile 18-55mm focal length range, great for everything from wide group shots and landscapes to family sports and portraits, even in dim lighting. A retractable barrel keeps the lens extremely compact, and its sleek, lightweight design perfectly complements Nikon's latest DX-format DSLRs. Shoot beautiful photos and HD videos with ease.

Outstanding Nikon image quality
Unleash the potential of your camera's high-resolution sensor. The AF-P DX NIKKOR 18-55mm f/3.5-5.6G VR features the superb optics and advanced technology used on Nikon's high-end lenses. Two Aspherical lens elements achieve superior optical performance, giving your photos and videos rich, vibrant colors, deep contrast, minimal distortion and beautiful soft backgrounds, even in less than ideal conditions.

Sharp photos, steady videos
VR image stabilization

Nikon's Vibration Reduction (VR) technology offsets the shakiness of handheld shooting for sharper photos and steady videos. In low-light situations, VR lets the camera use a slower shutter speed* to capture sharp photos-without blur. VR image stabilization gives you the benefits of a tripod without any extra gear. Switch between Autofocus and Manual Focus or turn VR on and off using the camera menu**. With no switches on the lens barrel, you have no chance of accidentally changing settings when you want to take the shot.
*Based on CIPA Standard. This value is achieved when DX-format compatible lenses are attached to a DX-format digital SLR camera and zoom lenses are set at the maximum telephoto position.
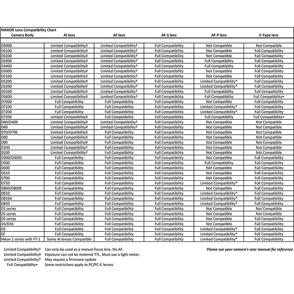
**The lens will default to VR on when attached to models released prior to the D3400: D3300, D3200, D3100, D5500, D5300, D5200, D7200, D7100, D7000. These cameras will also require a firmware upgrade to access the menu to turn off the VR.

Smooth, fast autofocus
Nikon's Pulse Motor

Nikon's new "P" series of NIKKOR lenses use a pulse motor (utilizing stepping motors) to focus smoother and quieter than previous drive systems. Bring subjects into focus instantly with absolute precision. When recording video, smoothly shift focus from subject to subject with practically no drive noise.

Features:
- Compact, lightweight go-to lens for nearly any shooting situation
- Versatile 18-55mm zoom range ideal for wide-angle shots, portraits, fast action, HD video and much more
- Ultra-fast, near silent autofocus powered by a pulse motor (utilizing stepping motors)
- Two Aspherical glass elements provide outstanding optical performance

Specifications:
Mount Type
- Nikon F-Bayonet

Focal Length Range
- 18 - 55 mm

Zoom Ratio
- 3.1 x

Maximum Aperture
- f/ 3.5-5.6

Minimum Aperture
- f/ 22-38

Format
- DX

Maximum Angle of View (DX-format)
- 76 deg.

Minimum Angle of View (DX-format)
- 28 deg. 50'

Maximum Reproduction Ratio
- 0.38 x

Lens Elements
- 12

Lens Groups
- 9

Optical Conversion Factor
- 1.5x

Compatible Format(s)
- DX
- FX in DX Crop Mode

VR (Vibration Reduction) Image Stabilization
- Yes
- Lens shift using voice coil motors (VCMs)

Diaphragm Blades
- 7

Distance Information
- Yes

Aspherical Elements
- 2

Super Integrated Coating
- Yes

Autofocus
- Yes

AF-P (Pulse Motor)
- Yes

Minimum Focus Distance
- 0.9  ft.  ( 0.25 m) from focal plane at all zoom positions

Focus Mode
- Auto/Manual

G-type
- Yes

Filter Size
- 55 mm

Accepts Filter Type
- Screw-on

Approx. Dimensions (Diameter x Length)
- 2.5  in. (64.5  mm) x  2.4  in. (62.5  mm)
- distance from camera lens mount flange when lens is retracted
- Based on CIPA Guidelines

Approx. Weight
- 7.3  oz. (205  g)
- Based on CIPA Guidelines